Potęgi
Potęgowanie to wielokrotne mnożenie tych samych liczb, zapisujemy a^n = a \cdot a \cdot ... \cdot a gdzie a jest podstawą potęgi, a n – wykładnikiem potęgi.
Działania na potęgach:

Pierwiastki
Pierwiastkowanie to odwrotność potęgowanie, czyli wyciągniecie pierwiastka z liczby, znaczy znaleźć liczbę podniesioną do takiej potęgi jakiego stopnia jest pierwiastek.

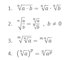
Właściwości pierwiastka

Wzory skróconego mnożenia

Logarytmy
Logarytmem liczby b>0 przy podstawie a nazywamy liczbę c, do której należy podnieść a, aby otrzymać liczbę b.
![]()
Własności i działania na logarytmach:


